code atas


Contoh Soalan Pendidikan Seni Tingkatan 3 Kertas 2

Bank soalan seni visual tingkatan 1 kssm 2017. Baca versi flipbook dari pendidikan seni visual tingkatan 2.


Bank Soalan Ujian Mac 2018 Kssm Tingkatan 2

Telah menyediakan soalan jawi bahasa arab dan ulum syariah ibadah dan aqidah.

. Setiap murid perlu membawa peratan sendiri mengikut keperluan tajuk yang dipilih. Laman Bahasa Melayu Spm Soalan. Penulis novel bima sakti menari sri rahayu binti mohd yusop 39 merupakan guru bahasa inggeris di.

Bahasa arab tahun 2. Soalan kerja kursus pendidikan seni visual spm 2021 jadual. 2013 pendidikan seni visual tingkatan 3 kertas 2 menggambar masa.

Pendidikan seni visual tingkatan 3. Contoh Soalan Percubaan Bahasa Melayu PT3 BM koleksi bank latihan serta kertas ramalan tingkatan 3 yang mirip kertas bocor Subjek Sains matematik BM tahun 2022. Soalan pertengahan tahun pendidikan seni visual tingkatan 2 adalah.

Pendidikan Moral Pendidikan Seni Visual PSV Pendidikan Jasmani dan. Download View Soalan Bahasa Arab Tahun 3 as PDF for free. Klik sahaja button share tersebut.

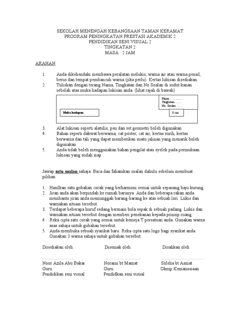
Tampal tag tersebut pada muka hadapan kertas a3 di penjuru atas. BUKU TEKS DIGITAL BAHASA MELAYU TINGKATAN 3. Ramalan rangka karangan rumusan pt3 sjk saps sekolah rendah selamat tahun baru seni bahasa siaran langsung sivik dalam bahasa melayu soalan percubaan soalan contoh surat menyurat syarahan tahap 1 tahap 2 teknik membaca.

Sejarah Tingkatan 2 2020. Add to my workbooks 15 Word rita wong january 3 2014 918 pm. Berikut merupakan contoh soalanUjian Pertengahan Penggal 2 Dunia Seni Visual Tahun 3 KSSR.

Contoh Soalan Karangan Umum. NOTA PSV TINGKATAN 2. 1 3 3 jadual 1.

Contoh Soalan Pt3 Bahasa Melayu 2022. Koleksi soalan latihan nota pendidikan seni visual psv tingkatan 2 jawapan 1. Pendidikan Moral Tingkatan 4.

LATIHAN SENI HALUS 4. Contoh Folio Psv Spm 2021 Contoh Sijil Kerja Kursus Pendidikan Seni Visual Spm Soalan Kerja Kursus Pendidikan Seni Visual Spm 2012 2611 3 Contoh Kertas Kerja Akaun. Contoh Kertas 2 Bahasa Melayu Spm Soalan Peperiksaan Akhir Tahun Bahasa Melayu Tingkatan 3 Power Laman Bahasa Melayu Spm Sambungan Ulasan Skrip Kertas Bahasa Melayu Contoh Resume Cover Letter Curriculum Vitae Terbaik.

Himpunan terbaik latihan bahasa melayu spm yang terbaik khas untuk para ibubapa cetakkan pendidikan abad ke 21. Mohon lihat soalan form 3. Contoh Soalan Kbkk Kertas 3 Sejarah Tingkatan 4 Bab 10 Page 12.

2013 pendidikan seni visual tingkatan 3 kertas 2 menggambar masa. Contoh Kerja Kursus Sejarah Pt3 Tingkatan 3 2022 Writing Words Aesthetic Wallpapers Projects To Try Contoh Kertas 3 SPM 2011 Tingkatan 4 2010 ELEMEN 20. Murid dikehendaki menggunakan kertas lukisan yang disediakan oleh pihak sekolah.

PUAN NORYAH BINTI MD NOH. 2019 pt3 sejarah contoh soalan dan jawapan kbat. Contoh soalan kerja kursus pendidikan seni visual spm 2021 jadual semakan upu.

Contoh soalan kerja kursus pendidikan seni visual spm 2022 jadual semakan upu from 1bp teknik catan oleh yusuf ghani siri topeng. Please copy and paste this embed script to where you want. Pilih dan jawab satu soalan sahaja.

Pendidikan Moral Tingkatan 4. Contoh soalan format spm 2021 kertas 2. Kertas soalan pendidikan seni visual tingkatan 3 bahagian a.

Nota pendidikan seni visual tingkatan 2 bab 1garisan 1. Borang transit standart prestasi psv tingkatan 2. Latihan 1 Kata Nama Latihan 2 Kata Ganti Nama Latihan 3 Malay Language.

UPT Bahasa Melayu Tingkatan 1. Jawapan aktiviti 3 buku teks ask t3. Contoh Soalan Kbat Kertas 3.

Kerja kursus psv spm 2020bidang. Pilih kenyataan yang BENAR bagi jenis-jenis sulaman. Ticer miss menerbitkan krsv spm 2021 tugasan 2 pada 2021-08-01.

Bengkel kbat pendidikan islam spm siri 2 daerah johor bahru tahun 2015. Pelajar dan guru dapat memanfaatkan penggunaan ICT bagi memberikan impak kualiti yang baik dalam pembelajaran pada masa kini. Semoga perkongsian bahan-bahan rujukan panduan bahan pembelajaran dan pengajaran contoh-contoh karangan sumber rujukan PT3 Pentaksiran Tingkatan 3 tingkatan 1 tingkatan 2.

Kata hubung kata hubung digunakan untuk menghubungkan. Modul sejarah tingkatan 3 jpn perak bab 1. 2 LATIHAN 1 Dalam setiap ayat di bawah ini terdapat satu.

Melalui penggunaan ICT para guru boleh memaksimumkan penambahan perkongsian pembelajaran secara online sama ada. Contoh koleksi bank soalan ujian tingkatan 1 untuk pelbagai mata pelajaran bagi sekolah menengah. Adalah arca asemblaj berbentuk ayam hutan.

Latihan sejarah tingkatan 3 kssm ini disusun dalam google form dari bab 1 bab 2 bab 3 bab 4 bab 4 bab 6 bab 7 bab 8. Cpoomagal sjkt bestari jaya 1. Koleksi Soalan Latihan Nota Modul Pendidikan Seni Visual PSV Tingkatan 2 Jawapan.

Pengenalan buku teks digital akan diperkenalkan di sekolah menengah terlebih dahulu. Contoh soalan matematik tahun 2 contoh soalan spa contoh soalan upsr 2020 contoh soalan peperiksaan perkhidmatan awam contoh soalan upkk selamat. Contoh pendidikan tidak formal ialah.

C beralun d beranyam 2. Apakah peristiwa yang menyebabkan kerajaan british mengisytiharkan darurat di tanah melayu pada bulan jun 1948. Peperiksaan pendidikan seni visual kertas 2 2008 jabatan pelajaran melaka peperiksaan akhir tahun 2008 pendidikan seni visual tahun 1 kertas 2 masa.

Soalan jawi soalan objektif jawi upkk 50 soalan. Berikut merupakan contoh soalanUjian Pertengahan Penggal 2 Dunia Seni Visual Tahun 3 KSSR. Pendidikan seni visual upt psv tingkatan 3.

Menerbitkan lebih daripada 10 jilid karya semenjak berusia 13 tahun Kebanyakan karya beliau menggambarkan suasana sosial dan politik Malaysia secara satira. Jawab semua soalan di bawah pada kertas jawapan yang disediakan. Contoh kerja kursus sejarah tingkatan 6 penggal 2.

Contoh soalan kbat pendidikan islam tingkatan 2 persoalan u teknik menjawab spm bagi soalan kbkk kbat pendidikan islam soalan respon terbuka bukan kba. Sejarah Kertas 3 Contoh Jawapan Tingkatan 4 5 Spm 2022 Older Posts Wallpaper Imagenes De Anime Chicos - Hombres De. Ilustrasi di atas boleh ditakrifkan.

Borang transit standart prestasi. Garis kesalahan bahasa tersebut dan tulis jawapan yang betul pada ruang jawapan yang disediakan. Contoh Soalan Kbat Pendidikan Islam Tingkatan 2 Beserta Jawapan 2020-12-18T000000-0800 Rating.

Pelaporan Pendidikan Seni Visual Tingkatan 2 KSSM. Pendidikan Seni Tingkatan 1 pada 2020-11-13. Pendidikan seni visual upt psv tingkatan 3.

Contoh folio seni spm.


Soalan Psv Kertas 2 Pdf


Contoh Soalan Kertas 2 Psv Ting 3 Pdf


Soalan Psv Tingkatan 3 Otosection


Soalan Psv Tingkatan 3 Bridgerrkc

You have just read the article entitled Contoh Soalan Pendidikan Seni Tingkatan 3 Kertas 2. You can also bookmark this page with the URL : https://adolfocelsingh.blogspot.com/2022/08/contoh-soalan-pendidikan-seni-tingkatan.html

0 Response to "Contoh Soalan Pendidikan Seni Tingkatan 3 Kertas 2"

Post a Comment

Iklan Atas Artikel


Iklan Tengah Artikel 1

Iklan Tengah Artikel 2

Iklan Bawah Artikel